渭南人速看!澄城县发布2023年1月状态异常驾驶人名单

  [复制链接]

该用户从未签到

分享到:
发表于 2023-2-3 11:00 | 显示全部楼层 |阅读模式

马上注册荣耀渭南网,结交渭南乡党,享用更多功能,让你轻松玩转荣耀网

您需要 登录 才可以下载或查看,没有账号?立即注册 |

x

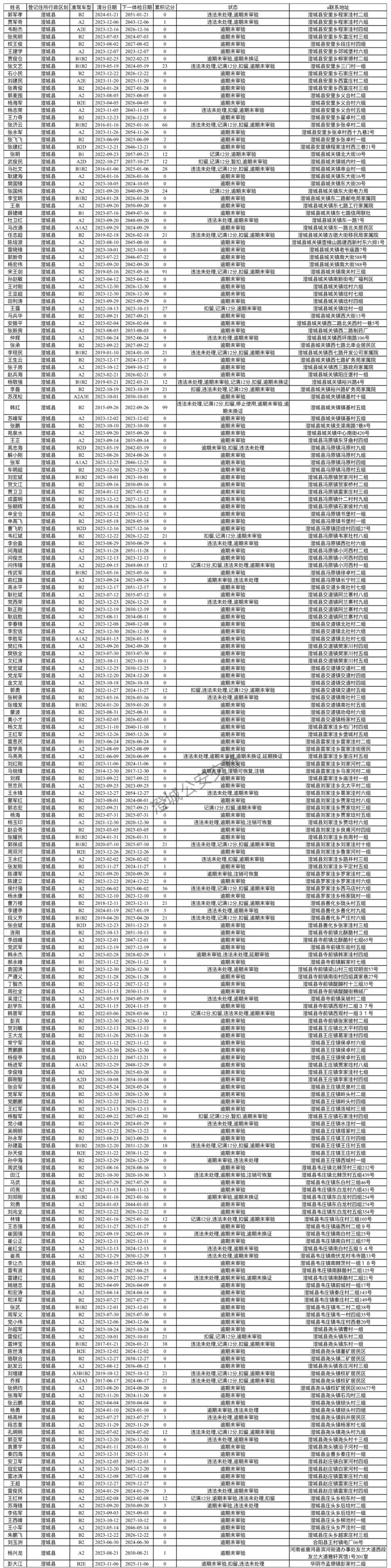
澄城公安交警提示:驾驶证状态异常的驾驶人(逾期未换证、违法未处理、逾期未审验、满分)请尽快到车管所办理相关业务

110144kar334ra4w34yy72.jpeg

(来源:澄城交警大队)

图片1.png (211.18 KB, 下载次数: 1)

下载附件 保存到相册

2023-2-2 08:39 上传

荣耀渭南网---每天我们都在影响这座城市!

该用户从未签到

发表于 2023-2-3 12:29 手机版 | 显示全部楼层
荣耀渭南网---每天我们都在影响这座城市!

签到天数: 33 天

[LV.5]常住居民I

发表于 2023-2-3 12:31 手机版 | 显示全部楼层
这么多逾期未验的
荣耀渭南网---每天我们都在影响这座城市!

该用户从未签到

发表于 2023-2-3 12:37 手机版 | 显示全部楼层
做个遵纪守法好公民
荣耀渭南网---每天我们都在影响这座城市!
bxf

该用户从未签到

发表于 2023-2-3 13:28 手机版 | 显示全部楼层
严厉打击违法犯罪行为
荣耀渭南网---每天我们都在影响这座城市!

该用户从未签到

发表于 2023-2-3 14:06 手机版 | 显示全部楼层
咋还有这么多违规
荣耀渭南网---每天我们都在影响这座城市!

该用户从未签到

发表于 2023-2-3 15:11 手机版 | 显示全部楼层
怎么还有这么多微法?
荣耀渭南网---每天我们都在影响这座城市!

该用户从未签到

发表于 2023-2-3 15:14 手机版 | 显示全部楼层
严厉打击违法犯罪行为
荣耀渭南网---每天我们都在影响这座城市!

该用户从未签到

发表于 2023-2-3 18:15 手机版 | 显示全部楼层
严厉打击违法犯罪行为
荣耀渭南网---每天我们都在影响这座城市!

该用户从未签到

发表于 2023-2-3 22:10 手机版 | 显示全部楼层
跟蚂蚊一样多!
荣耀渭南网---每天我们都在影响这座城市!

使用高级回帖 (可批量传图、插入视频等)快速回复

您需要登录后才可以回帖 登录 | 立即注册 |

本版积分规则   Ctrl + Enter 快速发布  

发帖时请遵守我国法律,网站会将有关你发帖内容、时间以及发帖IP地址等记录保留,只要接到合法请求,即会将信息提供给有关政府机构。
返回顶部快速回复返回列表找客服
快速回复 返回顶部 返回列表