[所见所闻] 百度百科出2020全国II卷文科数学高考答案了,有没有学霸看看是对的吗?

  [复制链接]

该用户从未签到

分享到:
发表于 2020-7-8 09:09 | 显示全部楼层 |阅读模式

马上注册荣耀渭南网,结交渭南乡党,享用更多功能,让你轻松玩转荣耀网

您需要 登录 才可以下载或查看,没有账号?立即注册 |

x
选择题填空题
填空.png

简答题
109.jpg

1099.jpg

10999.jpg

109999.jpg

1099999.jpg

10999999.jpg

109999999.jpg

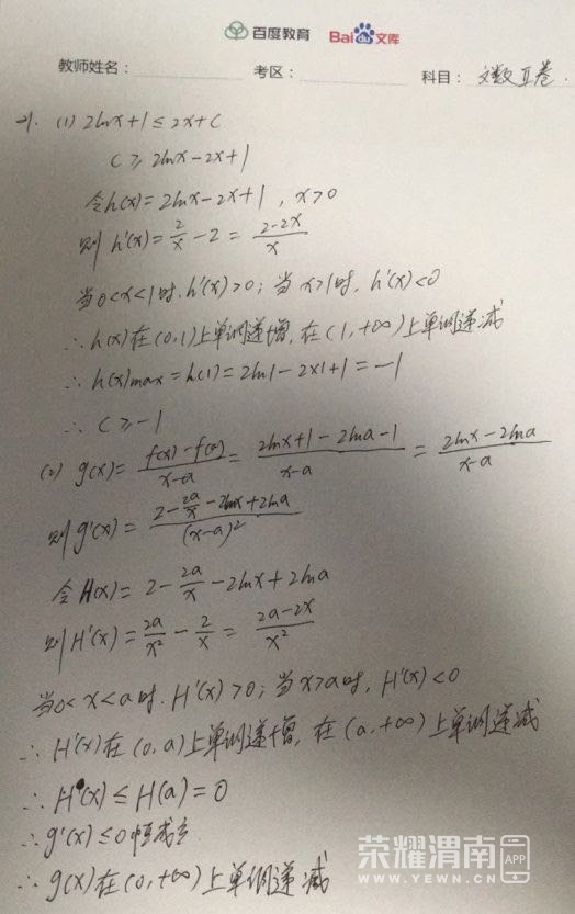
2020全国II卷文科数学高考答案来源:
https://wenku.baidu.com/view/d2b97593f6ec4afe04a1b0717fd5360cb1a8d0cb


(来源:百度百科,二三里)
荣耀渭南网---每天我们都在影响这座城市!

签到天数: 255 天

[LV.8]以坛为家I

发表于 2020-7-8 11:24 | 显示全部楼层
看着相当头疼,虽然当年也考了120多。。。。
荣耀渭南网---每天我们都在影响这座城市!

签到天数: 33 天

[LV.5]常住居民I

发表于 2020-7-9 06:51 手机版 | 显示全部楼层
荣耀渭南网---每天我们都在影响这座城市!

该用户从未签到

发表于 2020-7-9 06:53 手机版 | 显示全部楼层
当年我高考的时候,这种题。。。。。。
我也不会做
荣耀渭南网---每天我们都在影响这座城市!

使用高级回帖 (可批量传图、插入视频等)快速回复

您需要登录后才可以回帖 登录 | 立即注册 |

本版积分规则   Ctrl + Enter 快速发布  

发帖时请遵守我国法律,网站会将有关你发帖内容、时间以及发帖IP地址等记录保留,只要接到合法请求,即会将信息提供给有关政府机构。
返回顶部快速回复返回列表找客服
快速回复 返回顶部 返回列表